Thursday April 2026

হটলাইন

সেবা এবং ধাপ

নং শিরোনাম সেবার ধাপ কার্যকলাপ
  
পল্লী সমাজসেবা কার্যক্রমের আওতায় সুদমুক্ত ঋণ দেখুন
উপজেলা পর্যায়ে দুস্থঃ মহিলা, বিধবা স্বামী পরিত্যাক্তা ভাতা প্রদান কার্যক্রম প্রসেস ম্যাপ দেখুন
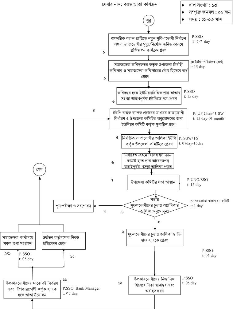
বয়স্কভাতা প্রদান দেখুন
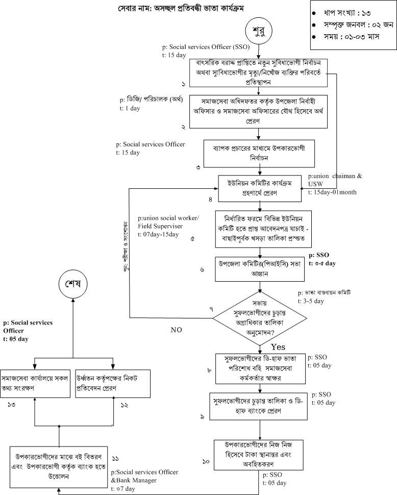
অসচ্ছল প্রতিবন্ধী ভাতা কার্যক্রম দেখুন
প্রতিবন্ধী ভাতা দেখুন
ক্ষুদ্র ঋণ কার্যক্রম দেখুন
দেখছেন ১ থেকে ৬ পর্যন্ত, মোট ৬ এন্ট্রি

এক্সেসিবিলিটি

স্ক্রিন রিডার ডাউনলোড করুন